
注意:仕入れ部門・営業部門からの情報は制約ではない.
から揚げ弁当の製造数をx1,幕の内弁当の製造数をx2,特大ハンバーグ弁当の製造数をx3とおく.問題を定式化すると左のようになる.
シンプレックス法を用いて最適解を導く.
まず,シンプレックス法が適用できるように変形する.
シンプレックス表を作成しシンプレックス法を実行する.




よって最適解はx1=60,x2=240,x3=300で,最適値は99600である.






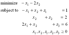
よって,最適解はx1=2,x2=2,最適値は−6となる.
注意:シンプレックス法が導いた最適値は6だが,元の問題はmaxの前にマイナス(−)があるので,最適値にマイナスをつけた値が問題の最適値となる.




掃き出しをとことん使ったガウスの消去法↓




よって,x1=−6,x2=5,x3=2.
(2) 解答省略